Эксперименты CERN выявили аномалию, которая не вписывается в рамки стандартной модели. Почему это еще не открытие и зачем ученые ищут новую физику?
Из CERN не так уж часто приходят новости, но они неизбежно поражают воображение. Еще бы, ведь ученые из Европейской организации по ядерным исследованиям проникают в тайны глубокого прошлого нашей Вселенной, создают антиматерию и вообще занимаются такими вещами, от которых фантасты должны исписывать не один блокнот с идеями.
Вот и на сей раз исследователи CERN сообщили об удивительной находке. Изучив данные об экспериментах на Большом адронном коллайдере (БАК) за 10 лет члены коллаборации LHCb обнаружили аномалию, способную проложить путь к открытию новой физики или даже новой фундаментальной силы природы. Звучит захватывающе, но на самом деле откупоривать шампанское пока рано.
Нестандартный распад
Чтобы понять, что именно обнаружили ученые из CERN, необходимо обратиться к основам. В своей работе исследователи полагаются на стандартную модель — теорию, разработанную еще в 1970-х годах минувшего века и с тех пор неоднократно подтвержденную экспериментально. Она объясняет, из чего состоит материя во Вселенной и как на нее влияют фундаментальные взаимодействия: электромагнитное, сильное и слабое.
«Стандартная модель включает три поколения кварков и три поколения лептонов, переносчики фундаментальных взаимодействий и бозон Хиггса, который дает массу всем элементарным частицам», — рассказывает национальный контактный представитель Украины в CERN Максим Титов.

Лептоны и кварки — элементарные частицы, не имеющие внутренней структуры. «В принципе, все, что существует на Земле в стабильном состоянии состоит из двух кварков первого поколения (верхнего и нижнего) и электрона (лептон 1 поколения). Это основной строительный материал, из которого состоит видимая материя во Вселенной», — говорит Титов.
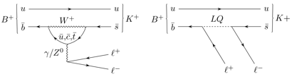
В данном случае исследователи CERN рассматривали распад B+-мезона. Это частица, состоящая из кварка третьего поколения и кварка первого поколения. Распадаясь, она переходит в K-мезон — частицу, состоящую из кварков второго и первого поколений. В процессе также образуются электроны или мюоны — лептоны первого и второго поколений соответственно.

Согласно стандартной модели, они идентичны во всем кроме массы и вероятность появления в распадах обеих частиц одинакова. Иными словами, на каждые 100 случаев возникновения электронов должно приходиться такое же количество случаев возникновения мюонов. Однако физики увидели иную картину. При распаде B+-мезона в К-мезон электроны образовывались чаще, чем мюоны. На каждые 100 случаев возникновения первых приходилось 85 случаев возникновения вторых.

Это отклонение от стандартной модели заинтриговало ученых, натолкнув на мысль, что в процесс вмешивается нечто такое, чего наука еще не видела. Возможно, новая частица.
Невидимые гости
Ученые в CERN находятся в постоянных поисках новых частиц, прибегая к двум основным методам. Первый подразумевает рождение новой частицы во время столкновений в ускорителе, таком как БАК. Однако, по словам Максима Титова, такой метод работает не всегда.
«Знаменитое уравнение Эйнштейна E=mc2 описывает эквивалентность массы и энергии. Поэтому, чтобы открыть тяжелые частицы, требуются очень высокие энергии. Но если масса частицы превышает энергетический порог ускорителя, даже столь мощного, как БАК, она все же может проявиться виртуально. В таком случае об ее существовании ученые судят косвенно: по отклонениям от теоретических предсказаний параметров распада известных нам частиц в Стандартной Модели», — говорит он.
В данном случае изменилась вероятность возникновения электронов и мюонов при распаде B+-мезона в К мезон.Ученые не исключают, что в дело могла вмешаться новая частица. У них даже есть два предположения касательно того, что она собой представляет. «Одна гипотеза заключается в том, что это фундаментальная частица под названием Z-prime — по сути переносчик совершенно нового взаимодействия», — пишет в The ConversationПаула Альварес Картель, физик из Кембриджского университета и один из членов коллаборации LHCb, обнаружившей аномалию. По ее словам, это фундаментальное взаимодействие чрезвычайно слабо, поэтому исследователям не удавалось заметить его раньше, и оно по-разному взаимодействует с электронами и мюонами.
Вторая версия заключается в том, что в распад B+-мезона вмешался лептокварк. Это частица, которая может обладать свойствами как лептонов, так и кварков, и даже позволяет одним переходить в другие. Теоретически. На сегодняшний день существование лептокварков, равно как и Z-prime не доказано. Это гипотетические частицы, открытие которых может стать новым прорывом в физике. Так что пока рановато говорить о том, что именно они влияют на аномалию, увиденную учеными CERN. Более того, они пока даже не уверены в ее существовании. По крайней мере, не настолько уверены, чтобы называть ее открытием.
Дело в сигмах
Дело в том, что с подобным отклонением в стандартной модели ученые сталкивались и раньше. Впервые его обнаружили в 2014-м году, а затем еще раз в 2019-м. Так почему же заговорили о нем только сейчас?
Мы привыкли использовать слово «открытие» едва ли не каждый раз, когда речь идет о достижениях науки, но физики относятся к нему с гораздо большей осторожностью. Наблюдая любопытные результаты экспериментов, они присваивают ему показатель статистической значимости, выраженный в сигмах.
«В статистической физике, количество сигм связано с вероятностью того, что истинное или теоретическое значение будет настолько отличаться от измеренного. Это сообщение о том, какова вероятность, что такое или еще более сильное отклонение могло произойти за счет случайного стечения обстоятельств при измерении», — поясняет Максим Титов.
В прошлом результаты не являлись статистически значимыми. Ученые продолжали собирать новые данные, держа в уме, что аномалия просто может рассосаться. Оказаться просто ошибкой. Теперь их уверенность в увиденном возросла достаточно, чтобы присвоить показатель статистической значимости в 3,1 сигмы. Это значит, что увидеть отклонение, которого на самом деле нет, можно примерно в одном из 300 экспериментов. Но правильнее было бы рассуждать об этом так: если посмотреть на триста различных измерений, одно из них просто случайно может оказаться событием 3 σ!
По словам Титова, этого достаточно, чтобы всерьез присмотреться к наблюдаемым результатам, но до «открытия еще не дотягивает». Чтобы прозвучало это слово, нужно, чтобы статистическая значимость возросла до пяти сигм. В таком случае ложное отклонение может проявиться только в одном из 3 500 000 измерений.
«На английском уровень трех сигм называют evidence (указание на существование новой частицы), а пять сигм — discovery («открытие»). И когда вы говорите discovery, то ставите знак качества. После этого нет пути назад», — отмечает украинский физик.
Такой знак качества ученые из CERN, например поставили девять лет назад, открыв бозон Хиггса. Тогда специалисты из обеих коллабораций ATLAS и CMS, где зафиксировали частицу, оценили находку более, чем в пять сигм.
Впрочем, даже если существование аномалии в распаде B+ мезона подтвердится, для физиков это отнюдь не будет означать завершение работы. Если они убедятся, что нащупали новую частицу, им предстоит искать подобные отклонения от стандартной модели и на примерах других распадов, чтобы понять с чем именно они имеют дело: лептокварком, Z-prime или совсем другой частицей, например, из теории суперсимметрии (гипотетическая симметрия между частицами-переносчиками фундаментальных сил и частицами материи), о которой пока не подумали.
Взгляд за рамки
«Действительно ли мы, наконец, увидели свидетельства новой физики? Может быть да, а может и нет», — отмечает Альварес Картель, добавляя, что для прояснения картины понадобится больше данных.
Тем не менее, исследователи из CERN воодушевлены находкой, хоть и относятся к ней с «осторожным оптимизмом». Стандартная модель проверена временем и многое говорит о строении материи и том, как на нее влияют фундаментальные силы природы, но все же не совершенна. Например, она не объясняет преобладание вещества над антивеществом, отсутствие частиц темной материи во Вселенной и указывает, что нейтрино (фундаментальные частицы, относящиеся к лептонам) не должны иметь массы. Поэтому ученые давно поглядывают за ее пределы, где находится новая физика.

Кроме этого, в апреле месяце этого года американская Национальная ускорительная лаборатория Ферми представила новые результаты исследования аномального магнитного момента мюона (эксперимент g-2). Это еще одна аномалия, которая занимает физиков не одно десятилетие. Дело в том, что данная характеристика частицы поддается чрезвычайно точному измерению и столь же точным теоретическим расчетам. Однако на практике показатели отличаются от теории. Первый результат нового эксперимента в Фермилабе согласуется с результатами предыдушего эксперимента в Брукхейвене, что позволяет надеяться, что ученые «нащупывают» новую физику. Совместные результаты Фермилаба и Брукхейвена показывают отличие от Стандартной модели на уровне 4,2 сигмы, что немного меньше, чем 5 сигм, которые необходимы, чтобы заявить об открытии. Вероятность того, что этот результат являются случайным стечением обстоятельств, составляет примерно 1 из 40 000.
Как отмечает Максим Титов, «в последнее время появилось много интересных аномалий, связанных с мюонами, как, например, последние результаты экспериментов LHCb и g-2. Конечно, необходимо подождать и убедиться, что это не является статистическими флуктуациями». Если новая физика в мюонах будет подтверждена, это даст мощный импульс к созданию мюонного коллайдера. Но это вопрос не завтрашнего дня, так как многие технологии для этого ускорителя находятся еще в стадии предварительной разработки. «На сегодняшний день в бозоне Хиггса ученые видят ключ ко многим тайнам материи, поэтому его всестороннее исследование на БАК и на будущем международном линейном коллайдере в Японии может открыть путь к пониманию новой физики», — подчеркивает Максим Титов.
За пределами стандартной модели могут скрываться ответы на многие вопросы, над которыми ученые давно ломают головы. Например, о природе темной материи, в которую многие верят, но никто не видел. И даже на те, которые пока никто даже не представлял. Но пока исследователи только начинают прощупывать дорогу, ведущую к ней.
Больше информации об открытиях в Новой Физике можно почерпнуть на публичной странице результатов LHCb-коллаборации.

Журналист: Ярослав Золотников
Больше на Granite of science
Подпишитесь, чтобы получать последние записи по электронной почте.

