Повышение энергетической эффективности систем получения воды из атмосферного воздуха с использованием солнечной тепловой энергии.
Авторы: Титлов А.С., д-р техн. наук, профессор
Биленко Н.А., PhD, старший преподаватель,
Осадчук Е.А., канд.техн.наук, старший преподаватель,
Одесский национальный технологический университет
1.1 Анализ литературных данных и постановка проблемы
В настоящее время более 40 процентов населения мира живет в районах, испытывающих среднюю или острую нехватку воды. Предполагается, что к 2025 году примерно две трети населения мира — около 5,5 миллиарда человек — будут жить в районах, которые столкнутся с нехваткой воды в таких масштабах (Рис.1.) [4].

Насчитывается более 1 миллиарда людей, не имеющих постоянного доступа к чистой воде. 2,4 миллиарда человек — более одной трети населения мира — не имеют доступа к надлежащим средствам санитарии. Эта ситуация приводит к катастрофическим последствиям и в ближайшем будущем может иметь место и в Украине [17].
Ежегодно более 2,2 миллионов человек, главным образом в развивающихся странах, умирают от заболеваний, связанных с низким качеством воды и неудовлетворительными санитарно-гигиеническими условиями.
Современные интенсивные технологии получения пищевой и технологической воды из морской воды характеризуются высокими затратами тепловой энергии при испарении (дистилляции) или достаточно высокими затратами электрической энергии в процессах вымораживания с использованием компрессионных холодильных машин.
Для бытовых и хозяйственных нужд, в незначительных объемах, с давних времен пресную воду получали путем сбора сконденсированных капель из воздуха в результате естественного суточного радиационного охлаждения земной поверхности в ограниченных количествах.
И этот способ до сих пор остается актуальным, но теперь его применение совершается с использованием современных технологий (Рис. 2).

Известно, что при снижении температуры на 10÷15 °С из каждого кубического метра воздуха можно получить 10÷14 г воды.
Для повышения эффективности процесса конденсации пара воды в естественных условиях используют интенсифицирующие элементы. В первую очередь, это холодоаккумуляторы (щебень) и тепловые трубы, обеспечивающие передачу тепла на значительные расстояния. Также используются твердые сорбенты, работающие в циклическом режиме «зарядки-разрядки».
К недостаткам известных способов получения воды в естественных условиях следует отнести зависимость от изменяющихся параметров тепло-влажности атмосферного воздуха в разные часы суток и времена года.
1.2. Перспективные конструкции систем получения воды из атмосферного воздуха [7-8, 18,19, 21].
1.2.1. Система получения воды из атмосферного воздуха с различными источниками электрической энергии
При возможности одновременного применения сетевых источников электрической энергии и солнечных батарей, предлагается комбинированная схема, позволяющая, помимо получения воды из атмосферного воздуха, обеспечивать режимы кондиционирования помещений.
Принципиальная схема такой комбинированной системы представлена на рисунке 3.
В стационарных условиях есть возможность использования стабилизированных источников электроснабжения, что позволяет включить в состав системы получения воды паровой конденсатор-термопомпы (ПКТ).
Основная идея такой схемы заключается в использовании стандартного электрического оборудования для преобразования постоянного электрического тока в переменный ток, который генерируется системой солнечных коллекторов.
Проблема пусковых токов при запуске электродвигателя компрессора ПКТ решается за счет подключения к стационарным источникам электрической энергии.
Система получения воды размещается преимущественно на крыше жилого дома 1 и включает в себя: солнечную батарею 2; систему охлаждения 3; ПКТ 4; систему сбора 11; отвод 12 и накопление конденсата 13.
Система охлаждения 3 разделена на верхнюю 3а и нижнюю 3в полости, в которые с помощью воздушных вентиляторов 14а и 14в, соответственно, подается атмосферный воздух.
ПКТ 4 включает компрессор 7, воздушный конденсатор 8, дроссель 9 и испаритель-воздухоохладитель 10.
Система электрообеспечения компрессора 7 ПКТ 4 включает в себя, помимо солнечной батареи 2, систему управления и преобразования постоянного тока в переменный ток 5 и источник стабилизированной сетевой электроэнергии 6.
Подача постоянного тока с солнечной батареи 2 в систему преобразования 5 происходит по каналу ІІІD, переменного тока от системы 5 к компрессору 7 по каналу ІІІс, а сетевой электроэнергии от источника 6 к системе 5 по каналу ІІІв.
Работа ПКТ осуществляется следующим образом: в светлое время суток на солнечную батарею 2 попадает солнечное излучение, которое преобразуется в постоянный электрический АВТ включает в себя следующие компоненты: генератор пара аммиака 1, воздушный конденсатор 2, дроссельный вентиль жидкого аммиака 3, испаритель-воздухоохладитель 4, абсорбер 5, переохладитель слабого ВАР 6, циркуляционный насос прочного ВАР 7, дроссельный вентиль прочного ВАР 8, теплообменник слабого и прочного ВАР 9, бустер-компрессор конденсатора 10, испаритель 11, воздушные вентиляторы 12-15, источник тепловой энергии 16, задвижки 17-22; 23 — дроссель прочного ВАР; 24 — сборник конденсата воды; 25 — емкость для хранения конденсата воды.ток. Этот ток подается в систему преобразования и управления 5.

При включении ПКТ, на компрессор 7 подается переменный сетевой электрический ток по каналу ІІІв и ІІІс от источника 6 и системы 5. При выходе компрессора 7 на рабочий режим происходит переключение электропередачи на каналы ІІІа и ІІІс от солнечной батареи 4.
При запуске компрессора 7 одновременно включаются воздушные вентиляторы 14а и 14в, которые подают атмосферный воздух в верхнюю полость 3а (поток Іа) и нижнюю полость 3в (поток ІІа).
В нижней полости 3в воздушный поток проходит через испаритель-воздухоохладитель 10, где охлаждается ниже точки росы с одновременным частичным выпадением конденсата в поддон 11. Охлажденный и осушенный воздух (поток II в) поступает в помещение и обеспечивает необходимый тепловлажностный режим в жаркое время года. Конденсат из поддона 11 по каналу 12 отводят в сборник конденсата 13.
Такой режим работы ПКТ — «режим кондиционирования воздуха», когда производится и сбор конденсата, и тепловлажностная обработка помещений.
В этом случае шибер 15 открыт, а шибер 16 закрыт. При работе системы только в режиме получения воды, шибер 15 закрывают, а шибер 16 — открывают. Одновременно отключают вентилятор 14а в полости 3а. В такой конфигурации холодный и осушенный воздух через шибер 16 подается на конденсатор 8 и компрессор 7 ПКТ 4.
Дополнительное охлаждение конденсатора 8 и компрессора 7 способствует повышению холодопроизводительности ПКТ 4.
1.2.2. Система с поджимающими бустер-компрессорами
Для улучшения схемы с одним поджимающим бустер-компрессором [11-13], была разработана схема АВТ, которая включает еще один бустер-компрессор на линии испаритель-абсорбер (Рис. 4).
Такая схема позволяет существенно снизить массогабаритные характеристики абсорбера с воздушным охлаждением и электрическую мощность циркуляционного насоса. Для повышения энергетической эффективности предложенной абсорбционной системы можно рассмотреть и цикл с рабочим телом на основе водоаммиачного раствора и нитрата аммония, что позволяет снизить температуру генерации аммиака и уменьшить количество пара воды при испарении [2, 3].

1 — генератор; 2 — воздушный конденсатор паров аммиака; 3 — дроссель жидкого аммиака; 4 — испаритель-воздухоохладитель; 5 — абсорбер; 7 — насос крепкого ВАР; 8 — дроссель слабого ВАР; 9 — теплообменник слабого и крепкого ВАР; 10 — бустер-компрессор конденсатора; 11 — бустер-компрессор испарителя; 12-15 — воздушные вентиляторы; 16 — источник тепловой энергии; 17-22 — задвижки; 23 — дроссель прочного ВАР; 24 — сборник конденсата воды; 25 — емкость для хранения конденсата воды.
АВТ включает в себя следующие компоненты: генератор пара аммиака 1, воздушный конденсатор 2, дроссельный вентиль жидкого аммиака 3, испаритель-воздухоохладитель 4, абсорбер 5, переохладитель слабого ВАР 6, циркуляционный насос прочного ВАР 7, дроссельный вентиль прочного ВАР 8, теплообменник слабого и прочного ВАР 9, бустер-компрессор конденсатора 10, испаритель 11, воздушные вентиляторы 12-15, источник тепловой энергии 16, задвижки 17-22; 23 — дроссель прочного ВАР; 24 — сборник конденсата воды; 25 — емкость для хранения конденсата воды.
Работа АВТ по представленной схеме осуществляется следующим образом.
Для примера рассмотрим работу АВТ с водоаммиачным раствором (далее ВАР) в качестве рабочего тела, хотя вместо ВАР могут быть использованы и другие пары «холодильный агент — сорбент».
В генераторе 1 содержится ВАР с долей аммиака, соответствующей температуре горячего источника тепла 16.
Рассмотрим случай, когда в качестве горячего источника тепла используется солнечный коллектор с водой в качестве теплоносителя. Верхний предел температуры в этом случае составляет 100 °С, а действительный рабочий диапазон температур составляет 75…85 °С [5, 9].
Также рассмотрим случай работы АВТ в условиях тропического климата с температурой атмосферного воздуха 38…43 °С. В этом случае давление насыщенных паров аммиака составит 1,47…1,69 МПа. С другой стороны, температура испарения аммиака в системах получения воды из атмосферного воздуха, а также в системах отопления должна составлять примерно 5 °С [18], а соответствующее давление — 0,52 МПа.
При средней максимальной температуре кипения ВАР в генераторе пара аммиака 1, равной 80 °С, и давлении 1,58 МПа, массовая доля аммиака в ВАР составит 0,51 [6].
Таким образом, в абсорбер 5 поступает слабый ВАР, а давление в абсорбере 5 соответствует давлению в испарителе-воздухоохладителе 4, то есть, 0,52 МПа.
При давлении 0,52 МПа и массовой доле аммиака в ВАР 0,51, процесс абсорбции может протекать при температуре не выше 40 °С. Учитывая необходимость дальнейшего насыщения ВАР, например, до массовой доли аммиака в ВАР 0,61, температура абсорбции должна понижаться до 30 °С.
Учитывая заявленные выше температуры окончания кипения, конденсации и испарения, такой цикл не может быть реализован.
Как показал анализ традиционного термодинамического цикла АВТ [10], для получения температуры испарения 5 °С и при наличии источника тепла с температурой не ниже 85 °С (перепад температур в теплообменнике солнечного коллектора 16 и генераторе пара аммиака 1 Δt = 5 °С), температура окружающего атмосферного воздуха должна быть не выше 24 °С.
Учитывая такое положение и для расширения области применения АВТ с солнечным коллектором с водой в качестве теплоносителя, было предложено использовать известный метод «подкачки пара перед конденсацией» с помощью специального бустер-компрессора 10.
Бустер-компрессор 10 в предложенной схеме АВТ позволяет использовать ВАР с достаточно высоким содержанием аммиака в условиях повышенных температур атмосферного воздуха.
Так, при максимальной температуре кипения ВАР в генераторе 1 (80 °С) и давлении 1,0 МПа, массовая доля аммиака в слабом ВАР (на выходе из генератора 1 — на входе в абсорбер 5) составит 0,40. Соответственно, температура начала процесса абсорбции при давлении 0,52 МПа составит 55 °С, что позволит проводить поглощение паров аммиака из испарителя 4 в условиях тропических температур эксплуатации 38÷43 °С с последующим насыщением ВАР до состояния «крепкого» ВАР.
Предложенная схема АВТ разработана для систем получения воды из атмосферного воздуха, но может быть использована и для других задач охлаждения, например, в качестве кондиционера воздуха для жилых помещений. В этом случае, осушенный охлажденный воздух после отделения конденсата воды может быть направлен внутрь помещений.
Кроме того, диапазон температур охлаждения в 5 °С позволяет осуществлять качественное холодильное хранение основных фруктов и овощей в течение длительного периода времени.
Очевидно, что предложенный АВТ будет максимально эффективным в регионах с высокой солнечной инсоляцией. Это в основном страны, расположенные вблизи экваториального пояса, такие как Северная Африка, Ближний Восток, Саудовская Аравия, Мексика и другие.
Традиционно, в этих странах отсутствует централизованное отопление во времена непродолжительных холодных периодов года, которые характеризуются не комфортными температурами в районе 8…12 °С. С учетом достаточно высоких цен на электрическую энергию в последние годы, население этих регионов решает вопрос отопления и, частично, горячего водоснабжения, используя солнечные коллекторы с водой в качестве теплоносителя.
В связи с этим предложенный АВТ может быть использован в качестве теплового насоса с коэффициентом преобразования (СОР) > 1,0.
Таким образом, с помощью второго бустер-компрессора 11 на магистрали между испарителем 4 и абсорбером 5 можно повысить давление абсорбции. В абсорбере 5 можно поддерживать давление, равное давлению в генераторе 1, например, 1,0 МПа. В этом случае температура абсорбции составит 70…80 °С, что соответствует температуре горячего источника тепла, такого как солнечный коллектор с водой в качестве теплоносителя.
С учетом того, что коэффициент преобразования СОР > 1,0, будет организован процесс термотрансформации тепла атмосферного воздуха, и, соответственно, увеличится производительность системы отопления в холодный период года.
Рассмотрим различные режимы работы АВТ.
1. Работа в режиме охлаждения для решения задач получения воды из атмосферного воздуха или для решения задач холодильного хранения плодов и овощей. Рассмотрим режим работы АВТ в условиях умеренного климата с температурами атмосферного воздуха, не превышающими 24 °С.
Во всех случаях будем использовать солнечный коллектор с водой в качестве теплоносителя со средней температурой 80 °С.
При низкой температуре наружного воздуха давление в генераторе 1 достаточное для осуществления конденсации. Потребность в работе бустер-компрессора 10 отсутствует. В этом случае задвижка 20 отсекает магистраль бустер-компрессора 10, а задвижка 19 находится в открытом положении. Абсорбер 5 работает в режиме поглощения паров аммиака из испарителя 4 с отводом тепла в окружающую среду.
Давление в генераторе 1 выше, чем в абсорбере 5 и в испарителе 4, поэтому для перекачки крепкого ВАР из абсорбера 5 в генератор 1 используется циркуляционный насос крепкого ВАР 7. Задвижки 21 и 22 при этом закрыты.
Для интенсификации внешнего теплообмена на теплорассеивающих элементах АВТ (воздушного конденсатора 2, абсорбера 5, переохладителя слабого водоаммиачного раствора 6) и испарителе-воздухоохладителе 4 используются воздушные вентиляторы, соответственно, 12-15 с приводом от солнечных батарей.
Работа АВТ осуществляется следующим образом.
При подаче тепловой нагрузки от солнечного коллектора 16 в генератор 1 начинается кипение крепкого ВАР с выходом пара, содержащего преимущественно аммиак. В этой схеме не предусмотрено использование дефлегматора.
Пар поступает через открытую задвижку 19 в воздушный конденсатор 2, где он сжижается, отдавая тепло в окружающую среду с помощью воздушного вентилятора 12.
Затем сжиженный аммиак через регулируемый дроссельный вентиль жидкого аммиака 3 поступает в испаритель-воздухоохладитель 4, где его давление снижается за счет отпуска пара в абсорбер 5.
Аммиак начинает кипеть при низком давлении с отводом тепла от воздушного потока, который создается воздушным вентилятором 13. Воздух охлаждается до температуры ниже точки росы, что приводит к выпадению конденсата воды. Конденсат стекает в сборник конденсата воды 24 и далее в емкость для хранения конденсата воды 25.
Пар аммиака по магистрали, с открытой задвижкой 17, поступает в абсорбер 5, где он встречает слабый ВАР, идущий из генератора 1.
На своем пути слабый ВАР проходит через теплообменник слабого и крепкого ВАР 9, где отдает часть тепла крепкому ВАР, который поступает на вход генератора 1.
Для увеличения эффективности процесса абсорбции температура слабого ВАР снижается за счет интенсивного внешнего охлаждения в переохладителе слабого ВАР 6, который управляется воздушным вентилятором 15.
Так как давление в генераторе 1 выше, чем в абсорбере 5, происходит сброс давления через регулируемый дроссельный вентиль прочного ВАР 8.
Охлажденный и осушенный воздух после испарителя-воздухоохладителя 4 может быть использован для холодильного хранения плодов, овощей и другой сельскохозяйственной продукции.
Задача кондиционирования воздуха в жилых и общественных помещениях при температуре воздуха не выше 24 °С, как правило, не предусматривается.
Рассмотрим режим работы АВТ в условиях тропического климата с температурами атмосферного воздуха от 38 до 43 °С.
В этом случае давление в генераторе 1 и в воздушном конденсаторе 2 ниже давления насыщения аммиака. Для реализации цикла АВТ необходимо включить бустер-компрессор конденсатора 10. При этом задвижку 19 закрывают, а задвижку 20 открывают. Бустер-компрессор конденсатора 10 создает необходимое давление в воздушном конденсаторе 2 для сжижения аммиака. Далее цикл повторяется в соответствии с вышеуказанным алгоритмом.
2. Работа в режиме отопления в холодный или переходный сезоны года.
В этом случае могут решаться задачи как отопления, так и получения воды из атмосферного воздуха.
В холодный или переходный сезоны года температура атмосферного воздуха, по определению, ниже 24 °С, и потребность в работе бустер-компрессора 10 отсутствует. Задвижка 20 закрыта, а задвижка 19 — открыта. Отличие в работе АВТ от выше рассмотренных алгоритмов следующее.
Во-первых, для повышения температурного потенциала процесса абсорбции подключают бустер-компрессор испарителя 11. При этом задвижку 17 закрывают, а задвижку 18 открывают.
Во-вторых, слабый ВАР, поступающий из генератора 1 через теплообменник слабого и крепкого ВАР 9, переохладитель слабого ВАР 6 и дроссельный вентиль крепкого ВАР 8 дополнительно не переохлаждают за счет отключения воздушного вентилятора 15.
В-третьих, уровень давления в режиме отопления следует поддерживать как можно более высоким, что позволит повысить температуру процесса абсорбции. Так, например, при массовой доле аммиака в слабом ВАР 0,50 при давлении в абсорбере 5 1,0 МПа температура процесса абсорбции составит 65 °С, при давлении в абсорбере 5 1,4 МПа температура процесса абсорбции составит 45 °С.
При давлении в абсорбере 5 выше, чем в генераторе 1, работа циркуляционного насоса прочного ВАР 7 не предусматривается. В этом случае открываются задвижки 21 и 22, и поток крепкого ВАР направляется в генератор 1 через дроссельный вентиль 23.
Для реализации всех режимов работы АВТ в условиях переменных параметров эксплуатации, в частности, изменения температуры атмосферного воздуха и интенсивности солнечной инсоляции как на протяжении светового дня, так и на протяжении астрономического года, необходимо предусмотреть элементы регулирования параметров потоков рабочего тела.
Таким образом, необходимо проводить синхронизацию работы бустер-компрессоров конденсатора 10 и испарителя 11 с работой циркуляционного насоса прочного ВАР 7 и дроссельными вентилями 3, 8 и 23.
Для снижения массогабаритных размеров абсорбера 5 можно:
- в режиме отопления подавать на него воздушный поток после охлаждения конденсатора 2;
- в режиме охлаждения подавать на него охлажденный воздушный поток после испарителя-воздухоохладителя 4 [8].
Работа парокомпрессионных термотрансформаторов в режиме отопления на аммиаке не требует более высоких уровней давления в конденсаторе 2. Так, для обеспечения температуры конденсации аммиака 65 °С, давление должно составлять 2,95 МПа, а для обеспечения температуры конденсации аммиака 70 °С, давление должно составлять 3,31 МПа, для обеспечения температуры конденсации аммиака 75 °С, давление должно составлять 3,71 МПа [16].
Таким образом, предложенная схема работы АВТ является универсальной, так как позволяет решать задачи кондиционирования воздуха в жилых и общественных помещениях, отопления, получения воды из атмосферного воздуха и холодильного хранения плодов, овощей и другой сельскохозяйственной продукции и сырья.
Работа АВТ осуществляется, в основном, за счет энергии солнечного излучения. В большинстве случаев для работы системы автоматики и управления возможно использовать стандартные солнечные батареи.
При наличии интенсивной солнечной инсоляции летом работа бустер-компрессора конденсатора 10 также может быть реализована с помощью стандартных солнечных батарей.

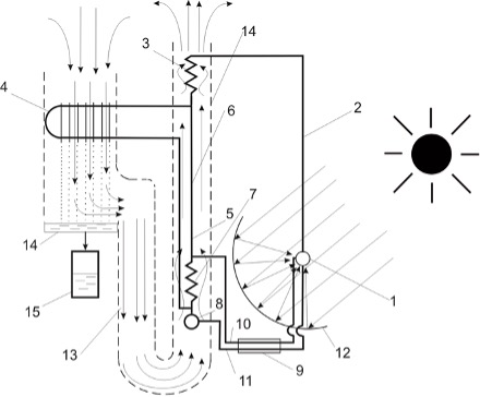
Работа установки для получения воды из атмосферного воздуха в соответствии с предложенным методом осуществляется следующим образом:
При восходе солнца, его тепловое излучение попадает на концентратор 12, который фокусирует его и направляет в генератор 1. Генератор 1 начинает нагреваться, и заполняющий его рабочий аммиачный раствор (ВАР) начинает преимущественно испаряться, освобождая низкокипящий компонент — аммиак. Из-за недостаточно высокой разницы в нормальных температурах кипения воды и аммиака, образующаяся пара содержит частично водяной пар.
Очистка аммиачного пара от водяного пара происходит в дефлегматоре 2, с отводом тепла фазового перехода в окружающую среду. Очищенный аммиачный пар поступает в конденсатор 3, где также происходит его конденсация с отводом тепла фазового перехода в окружающую среду.
Для обеспечения необходимого температурного градиента между поверхностью конденсатора 3 и наружным воздухом, давление во внутренней полости АВТ поддерживается на уровне 20…22 бар, что соответствует температуре в рабочей зоне около 50 ºС. Жидкий аммиак из конденсатора 3 стекает в испаритель 4, который питается из подъемного канала 5 и содержит частично очищенный от паров аммиака водород.
В испарителе 4 происходит испарение жидкого аммиака в атмосферу инертного газа-водорода при низком парциальном давлении и, соответственно, при низкой температуре.
Состав рабочего тела АВТ выбирается таким образом, чтобы можно было обеспечить температуру на наружной поверхности испарителя ниже температуры точки росы.
Из испарителя 4 насыщенный паром аммиака инертный газ (водород), за счет большей плотности, опускается по каналу 6 вниз в нижнюю часть абсорбера 7.
В верхнюю часть абсорбера 7 поступает «слабый» (с меньшей долей аммиака) ВАР из генератора 1, который стекает в нижнюю часть абсорбера 7 и накапливается в ресивере 8.
При контактном взаимодействии между «слабым» ВАР и насыщенной смесью аммиака и водорода происходит абсорбция (поглощение) паров аммиака жидкостью. «Слабый» ВАР при этом насыщается и становится насыщенным по аммиаку (и становится «крепким»), а водород частично очищается от паров аммиака.
«Крепкий» ВАР по каналу 11 поступает через теплообменник 9 в генератор 1. В теплообменнике «слабый» ВАР отдаёт тепло «крепкому» ВАР, и цикл работы АВТ повторяется.
При контакте атмосферного воздуха с поверхностью испарителя 4, имеющей температуру ниже точки росы, происходит конденсация растворенного водяного пара. При этом атмосферный воздух осушается и охлаждается.
Охлажденный и осушенный воздух имеет большую плотность и опускается в нижнюю часть канала 13.
Конденсат воды стекает из испарителя 4 и накапливается в емкости 14, откуда затем подается в емкость 15.
В нижней части подъемного канала 14 осушенный и охлажденный воздух контактирует с нагретой до 42…45 ºС поверхностью абсорбера 7.
В процессе теплообмена воздух нагревается, а абсорбер 7 охлаждается. Нагретый теплый воздух имеет меньшую, по сравнению с холодным, плотность и выталкивается в зону конденсатора, где дополнительно нагревается при отводе теплоты конденсации.
Как было отмечено выше, восходящий поток осушенного холодного воздуха снижает температуру теплорассеивающих элементов АВТ (абсорбера и конденсатора), что приводит к повышению холодопроизводительности испарителя АВТ при прочих равных условиях.
Таким образом, реализуется абсолютно автономный способ получения воды из атмосферного воздуха, и повышенная производительность зависит только от интенсивности солнечного теплового излучения и остается постоянной в течение светового дня.
В части снижения уровня температур источника тепла следует рассмотреть другие рабочие смеси «абсорбент-холодильный агент».
При отсутствии солнечного теплового излучения система может использовать как биогаз, так и традиционный сжиженный газ.
1.2.4 Воздухоохладитель в составе системы получения воды из атмосферного воздуха
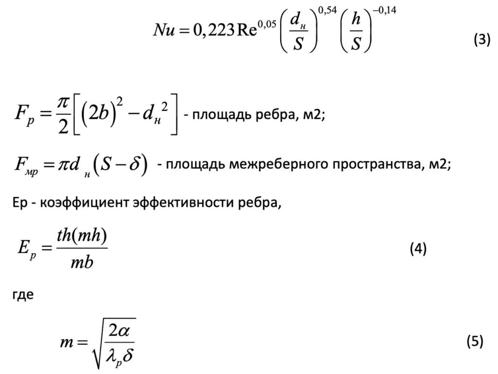
Для определения оптимальных (в части производительности по воде) режимов работы воздухоохладителя проведем моделирование типовых процессов теплообмена на единичном ребре (рис. 6).

В результате такого моделирования можно будет рекомендовать разработчикам диапазон желаемых тепловых и гидравлических режимов для типовых оребренных элементов.
Исходными результатами должны быть зависимости тепловой нагрузки единичного ребра от скорости течения воздушного потока и температур стенки воздухоохладителя (ВО)
Исходные данные:
а) температура стенки ПО, tст;
б) температура воздушного потока, tп;
в) скорость воздушного потока, W;
г) геометрические характеристики ребра ПО (диаметр трубы, dн, высота ребра, h; шаг ребра, S; толщина ребра, δ);
д) материал ребра, λр.
Тепловая нагрузка с единичного элемента оребренной трубы ПО:

где αнав- приведенный коэффициент конвективного теплообмена между воздушным потоком и оребренным элементом, Вт/(м2∙К)

где α — конвективный коэффициент теплообмена, который определяется для ребристой поверхности с помощью критериального уравнения [45]

В расчетах было зафиксировано
а) наружный диаметр трубы ПО dз = 0,02 м;
б) толщина ребра м;
в) шаг ребра S = 0,008 м;
г) материал ребра — алюминий Вт/(м-К)
Варьировалась:
а) высота ребра h=0,04; 0,08; 0,12 м
б) температура стенки t1= минус 10; минус 5; 0; 5; 10 0С
в) скорость воздушного потока W=1; 2; 3; 4; 5 м/с
Результаты расчетов приведены на рис.7.



а, б, в — зависимости для высоты ребра, соответственно, 0,04; 0,08; 0,12 м
С учетом полученных результатов был разработан алгоритм конструирования ПО для систем получения воды из атмосферного воздуха. Алгоритм позволяет рассчитать не только число и параметры ребер в каждом ряду, но и определить для конкретных условий эксплуатации тепловую нагрузку на ПО.
Как правило, исходными данными для расчета тепловлажностных процессов с воздухом задаются начальная температура tп и относительная влажность φп (рис.8) [20].

Очевидно, что содержание влаги

По определению относительной влажности [14]

где РП — парциальное давление водяного пара в воздухе при φп и tп, Па;
РН — парциальное давление насыщенных водяных паров в воздухе при φ=100 % и tп, Па.
Зная температуру tп, можно определить давление насыщения водяных паров в точке Н

С учетом постоянного влагосодержания в процессе Н-Н΄ в точке Н΄ пар становится насыщенным, но с тем же численным значением, что в формуле (8).
Тогда можно найти температуру насыщения или температуру «точки росы» в Н΄

В конечной точке охлаждения воздуха по линии φ=100% В΄ задана температура tВ΄
Парциальное давление насыщенного пара определяется по уравнениям (8) — (9).
Влагосодержание насыщенного водяного пара в точках Н΄ и В΄ определяется по формуле:

где Р0 — барометрическое давление, Па
РН΄ и РВ΄ — давление насыщенного водяного пара, соответственно водяного пара, соответственно в точках Н΄ и В΄, Па
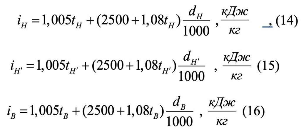
Имея численные значения влагосодержания и температур в точках Н, Н΄ и В΄, можно найти удельную энтальпию

Отведенное удельное тепло в процессе Н-Н΄-В΄.

Полученная влага в процессе Н-Н΄-В΄

Зная массовый расход воздуха М, можно найти тепловую нагрузку и расход полученной влаги (конденсата)

1.3.5. Воздухоохладитель с регенеративным теплообменником в составе систем получения воды из атмосферного воздуха [1].
Для снижения удельного тепла в процессе Н-Н΄-В΄ предусматривается конструкция ПО с регенеративным теплообменником (рис.9).
На входе такого теплообменника 7, перед источником холода, в качестве которого может быть использован испаритель термотрансформатора или рассол, устанавливается пучок оребренных вертикальных двухфазных термосифонов 6.

Теплообменник 7 разделен на два канала. Подача воздушного потока осуществляется вентилятором 1.
Низкотемпературный источник 2 располагается за пучком термосифонов по направлению движения воздушного потока. Конденсат сливается в поддон 3, а затем удаляется в сборную емкость 4. Для предотвращения брызгоуноса устанавливается каплеуловитель 5. Такая конструкция ПО позволяет осуществлять предварительное охлаждение входящего потока за счет теплообмена с исходящим холодным потоком.
В результате этого при осуществлении процесса конденсации влаги из атмосферного воздуха удельная тепловая нагрузка процесса снижается на величину (см. рис.7).
Выводы:
1. Разработаны оригинальные конструкции систем получения воды из атмосферного воздуха на базе насосного и безнасосного АВТ, предназначенные для работы в полевых условиях в автономном режиме.
2. На базе ПКТ с компрессором, работающим на переменном токе, разработана система получения воды из атмосферного воздуха, способная решать задачи кондиционирования воздуха и получения воды. Система с ПКТ, в отличие от аналогов, работает с комбинированными источниками энергии — с сетевым электричеством в момент пуска компрессора и с солнечными батареями в светлое время суток. Предложенная система получения воды из атмосферного воздуха на базе ПКТ с комбинированными источниками электрической энергии по холодопроизводительности значительно превосходит абсорбционные схемы. Отличительной особенностью такого предложения является использование компрессора, работающего на переменном токе, что значительно снижает себестоимость изделия.
Предлагается для такого компрессора использовать в светлое время суток солнечные батареи с преобразователем постоянного тока в переменный ток. В темное, вечернее и утреннее время суток ПКТ может работать от стационарного сетевого источника электрической энергии, как в режиме получения воды, так и в режиме кондиционирования воздуха.
В диапазоне температур атмосферного воздуха 20..35 °С плотность теплового потока на испарителе должна быть не менее 1300 Вт/м2.
Для холодопроизводительности испарителя ПКТ 1000 Вт часовая производительность по конденсату воды колеблется в зависимости от тепловлажностных параметров атмосферного воздуха (25…40 °С и 50…90 %) от 0,33 кг до 1,08 кг.
Системы получения воды из атмосферного воздуха на базе ПКТ наиболее эффективны при температурах атмосферного воздуха 35…40 °С и относительной влажности более 70 %.
3. Предложенная универсальная схема АВТ с двумя поддерживающими бустер-компрессорами позволяет существенно повысить эксплуатационные характеристики не только источника холода, но и надежность работы системы получения воды из атмосферного воздуха в целом. АВТ позволяет решать задачи кондиционирования воздуха в жилых и общественных помещениях, отопления, получения воды из атмосферного воздуха и холодильного хранения плодов, овощей и другой сельскохозяйственной продукции и сырья. Схема также позволяет оперативно реагировать на изменения условий эксплуатации в части температур источника тепловой энергии и окружающей среды.
4. Выполнено моделирование тепловых режимов воздухоохладителя системы получения воды из атмосферного воздуха, на основе которого разработан алгоритм конструирования. Алгоритм позволяет рассчитать не только количество и параметры рёбер в каждом ряду, но и определить для конкретных условий эксплуатации тепловую нагрузку. Получены зависимости тепловой нагрузки типовых рёбер от параметров воздушного потока (скорости, температуры) и температуры охлаждения (температуры стенки).
5. Предложена оригинальная схема воздухоохладителя в составе систем получения воды из атмосферного воздуха с регенеративным теплообменником на базе двухфазных термосифонов. Схема позволяет осуществлять предварительное охлаждение входящего воздушного потока за счёт теплообмена с холодным выходным потоком и тем самым повысить производительность системы по отношению к конденсированной влаге.
6. Конструкция воздухоохладителя позволяет не только решать задачи получения воды, но также задачи комфортного и технологического кондиционирования воздуха.
Литература
1. Стоянов П.Ф., Биленко Н.А., Стоянов Я.А. Моделирование работы воздухоохладителей холодильных установок. Холодильная техника и технология. 2018. № 54(2). С. 4-9.
2. Титлов А.С., Осадчук Е.А., Биленко Н.А. Методика определения термодинамической эффективности абсорбционных холодильных установок на основе анализа эксергетических потерь в их элементах. Холодильная техника и технология. 2018. № 54(1). С. 31-42.
3. Титлов А. С., Гратий Т. И., & Биленко Н. А. Повышение энергетической эффективности абсорбционных холодильных приборов. Холодильная техника и технология. 2018. № 55(5-6). С. 293-303.
4. Биленко Н.А., Титлов А.С. Разработка абсорбционных холодильных агрегатов на низкопотенциальных источниках тепловой энергии. Холодильная техника и технология. 2021. № 57(1). С. 13-25.
5. Ищенко И.Н., Титлов А.С., Осадчук Е.А. Инженерные методы расчета термодинамических параметров и теплофизических свойств рабочего тела абсорбционного холодильного агрегата. Пищевая наука и технология. 2010. №4. С. 80-83.
6. Осадчук Е.А., Титлов А.С. Аналитические зависимости для расчета термодинамических параметров и теплофизических свойств водоаммиачного раствора. Научные труды ОНАПТ. 2011. Вып. 39. Т.1. С. 178-182
7. Осадчук Е.А., Титлов А.С. Поиск энергетически эффективных тепловых режимов водоаммиачной абсорбционной холодильной машины в широком диапазоне эксплуатационных параметров. Пищевая наука и технология. 2012. №4. С. 79-82.
8. Осадчук Е.А., Титлов А.С., Василив О.Б., Мазуренко С.Ю. Поиск энергетически эффективных тепловых режимов водоаммиачной абсорбционной холодильной машины в системах получения воды из атмосферного воздуха. Научные труды ОНАПТ. 2014. Вып. 45. Т.1. С. 65-69.
9. Осадчук Е.А., Титлов А.С., Мазуренко С.Ю. Определение энергетически эффективных режимов работы абсорбционной водоаммиачной холодильной машины в системах получения воды из атмосферного воздуха. Холодильная техника и технология. 2014. №4. С. 54-57.
10. Осадчук Е.А., Титлов А.С., Кузаконь В.М., Шлапак Г.В. Разработка схем насосных и безнасосных абсорбционных водоаммиачных холодильных машин для работы в системах получения воды из атмосферного воздуха. Технологический аудит и резервы производства. 2015. №3/3(23). С. 30-37
11. Василив А.Б., Титлов А.С., Осадчук Е.А. Способ получения воды из атмосферного воздуха. Патент на полезную модель: пат. 100195 Украина: МПК (2015.01) Е03В 3/28 (2006.01) F25B 15/00. № 201501512; заявл. 20.02.2015; опубл. 10.07.2015, Бюл. № 13.
12. Василив А.Б., Титлов А.С., Осадчук Е.А., Кузаконь В.М. Установка для получения воды из атмосферного воздуха. Патент на полезную модель: пат. 104853 Украина: МПК Е03В 3/28 (2006.01) F25B 15/10. № 201507385; заявл. 23.07.2015; опубл. 25.02.2016, Бюл. № 4.
13. Василив А.Б., Титлов А.С., Осадчук Е.А., Кузаконь В.М. Способ получения воды из атмосферного воздуха. Патент на полезную модель: патент. 104854 Украина: МПК Е03В 3/28 (2006.01) F25B 15/10. № 201507386; заявл. 23.07.2016; опубл. 25.02.2016, Бюл. № 4.
14. Осадчук Е.А., Кириллов В.Х. Математическое моделирование рабочих режимов дефлегматора абсорбционного водоаммиачного холодильного агрегата в системах получения воды из атмосферного воздуха с использованием солнечной энергии. Холодильная техника и технология. 2017. № 1. С. 11-19.
15. Василив А.Б., Титлов А.С., Осадчук Е.А., Кузаконь В.М. Способ получения воды из атмосферного воздуха и установка для его осуществления. Патент на изобретение: патент. 114658 Украина: МПК Е03В 3/28 (2006.01) F25B 15/10 (2006.01). F25D 21/14 (2006.01). № 201506905; заявл. 13.07.2015; опубл. 10.07.2017, Бюл. № 13.
16. Титлов А.С., Осадчук Е.А., Биленко Н.А. Методика определения термодинамической эффективности абсорбционных холодильных установок на основе анализа эксергетических потерь в их элементах. Холодильная техника и технология. 2018. № 1. С. 31-42.
17. Kholodkov A., Osadchuk E., Titlov A., Boshkova I., Zhykhareva N. Повышение энергоэффективности солнечных систем получения воды из атмосферного воздуха. Восточно-Европейский журнал предпринимательских технологий. 2018. № 3/8(93) C. 41-45.
18. Titlov A., Osadchuk E., Tsoy A., Alimkeshova A., Jamasheva R. Разработка систем охлаждения на базе абсорбционных водоаммиачных холодильных машин малой холодопроизводительности. Восточно-Европейский журнал предпринимательских технологий. 2019. № 2/8(98). C. 57-67. Титлов А.С., Осадчук Е.А., Цой О.П., Алимкешова А.Х., Джамашева Р.А. Разработка автономных систем охлаждения с учетом возобновляемых и непригодных источников тепловой энергии. Холодильная техника и технология. 2019. № 2. С. 84-96.
19. Osadchuk E., Titlov O. Анализ климатических особенностей регионов первичного применения систем получения воды из атмосферного воздуха. ScienceRise. 2020. №4. P. 3-9.
20. Титлов А.С., Осадчук Е.А. Поиск энергоэффективных режимов работы систем получения воды из атмосферного воздуха на базе абсорбционных водоаммиачных термотрансформаторов тепла и солнечных коллекторов. Холодильная техника и технология. 2020. № 3-4. С. 78-91.
Подписывайтесь на наш Telegram канал «Гранит науки»
Читайте нас на Яндекс Дзен
У нас есть страница на Facebook и Вконтакте
Журнал «Гранит Науки» в Тeletype
Прислать статью [email protected]
Написать редактору [email protected]
Больше на Granite of science
Подпишитесь, чтобы получать последние записи по электронной почте.

