Вашему вниманию статья бакалавра физика Муханнада Касима Мухаммада Аль-Хунаиди
Специальная теория относительности была сформулирована Альбертом Эйнштейном в 1905 году и изучает движение объектов, движущихся с постоянной скоростью по прямой линии.
Теория была построена на следующих двух предположениях:
1 — Скорость света в вакууме имеет одинаковое значение во всех координатных группах, движущихся относительно друг друга с одинаковой скоростью
2 — Законы природы одинаковы во всех координатных группах, движущихся с одинаковой скоростью относительно друг друга.
Эта теория не могла быть применена Альбертом Эйнштейном к движению планет и звезд, поскольку они движутся с ускорением по круговым или эллиптическим траекториям.
Из этой теории вытекают следующие явления:
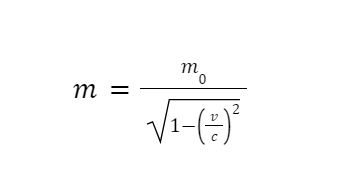
1 — Увеличение массы тела с увеличением его скорости. Если принять, что масса покоящегося тела равна m₀ и тело движется со скоростью v, то его новая масса m известна по соотношению:

где с — скорость света в вакууме
Заметим здесь, что масса тела увеличивается с увеличением скорости, а когда скорость тела достигает скорости света, масса тела становится бесконечной, а потому требуется бесконечное сила, чтобы придать телу скорость, равную скорости света.
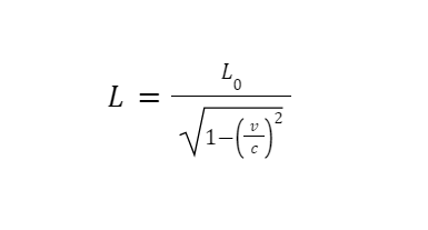
2 — Длина тела в направлении его движения определяется как расстояние между его начальным и конечным положениями, если принять, что реальная длина покоящегося тела равна L₀, а направление его движения по оси x известно, мы имеем:

Где с — скорость света в вакууме.
Заметим здесь, что длина тела, которое движется и измеряемо внешним наблюдателем, уменьшается с увеличением скорости только в направлении своего движения и ни в каком другом направлении и когда скорость тела достигает скорости света, длина тела равна нулю
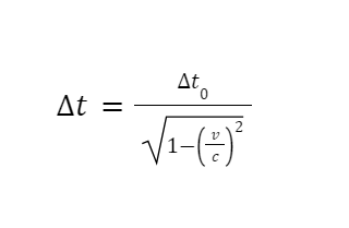
3 — Дилатация Тимо. Разница во времени в системе отсчета, движущейся со скоростью v ее величины, относительно разницы во времени t₀∆ в неподвижной системе отсчета определяется уравнением:

Следовательно, мы находим, что разница во времени, измеренная в движущейся системе отсчета, показывает некоторое отставание от разницы во времени, измеренной в фиксированной системе отсчета.
Это называется дилатацией Тимо (Timo Dilation), и в результате явления дилатации Тимо появился парадокс, называемый парадоксом близнецов, и он был разрешен только с появлением общей теории относительности.
Парадокс близнецов — это дилемма, связанная с явлением растяжения времени.
Время, вытекающее из специальной теории относительности в этом выпуске, показывает разницу между возрастами двух близнецов, один из которых предпочитал сидеть на Земле, наблюдая, как его брат путешествует в космосе с высокой скоростью, приближающейся к скорости света, и когда путешествующий брат возвращается, он обнаруживает, что моложе своего брата, оставшегося на Земле
4 — Эквивалентность массы и энергии, которая выражается следующим известным уравнением энергии:

где E — энергия m, масса c, скорость света в вакууме.
Это результат квадрата скорости света в уравнении.
Муханнад Касим Мухаммад Аль-Хунаиди, бакалавр физики (провинция Салах аль-Дин, округ Самарра, Ирак).

Прим.: редакция не несет отвественности за утверждения автора статьи и может быть не согласна с его мнением
✒️Подписывайетсь на наш Telegram канал «Гранит науки»
✒️Читайте нас на Яндекс Дзен
📩У нас есть страница на Facebook и Вконтакте
📩Журнал «Гранит Науки» в Тeletype
📩Прислать статью [email protected]
📩Написать редактору [email protected]
Больше на Granite of science
Подпишитесь, чтобы получать последние записи по электронной почте.

